Introduction
Contents
What is the 7805 IC?
As the name suggests, LM7805 is an industry-standard linear voltage regulator. It is a member of the 78xx devices with a constant output voltage.
The xx represents the output voltage value of devices in the 78 families.
The LM7805 is a three-terminal linear voltage regulator IC, and it works with AC currents. It is a common component in circuits that require positive voltage regulators.
The 7805 regulator comes in different versions. The TO-92 version is made of plastic and hence works better with low-power circuits.
The T-O3 version comes in an all-metal casing for easier heat sinking.
The 7805 IC schematic
7805 IC PIN Configuration
The three terminals in a 7805 regulator are:

7805 IC pinout
Pin 1
It is the input pin for unregulated voltage into the circuit.
Pin 2
The Ground pin connects to the Ground and is neutral, unlike the input and output pins.
Pin 3
It is the Output pin that outputs a constant +5V voltage.
Basic Features of the 7805 Regulator
First, the regulator can deliver an output current of up to 1.5A. The typical constant output voltage is 5V but can range between 4.8V and 5.2V.
Secondly, It also has current limiting and internal cooling features to prevent overloading the circuit. A unique heat overload circuit within the 7805 IC automatically cuts off the voltage supply until the chip cools down.
Thirdly, the regulator has a hole at the top for connecting to a heat sink for further temperature regulation.
Additionally, the minimum input voltage should be 7V, while the maximum should be 25V for optimum functioning of the IC.
Load regulation of the IC ranges between 10mV and 50mV, and exceeding these ranges would lead to malfunctioning.
Lastly, the junction temperature should not exceed 125 °C even with adequate heat sinking.
Here is a video with more information about the 7805 IC.
The LM7805 in a Circuit
The 7805 IC has many applications, including working as a +5V regulator and providing adjustable output voltages in a circuit.
In this section, we look at the functioning of the IC as a 5V regulator and an adjustable output regulator.
7805 as +5V Voltage Regulator
The 7805-voltage regulator can regulate incoming power and output it at +5V. It works with two capacitors at the ends of the 7805-regulator circuit.
7805 IC as a 5V regulator
The 0.22μF input capacitor is necessary if the distance between the power supply filter and the regulator is long. The capacitor on the output end is responsible for transient response, and together, they help stabilize the regulator.
They should be close to the regulator and ceramic type to work efficiently.
LM7805 as an Adjustable Output Regulator
The regulator can also adjust the output voltage to whatever value you desire. The circuit diagram below shows the arrangement you need for such results.
7805 as an adjustable output voltage regulator
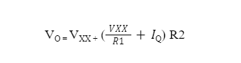
The adequate input voltage should range between 9V-25V. The resistance value of the two resistors determines the circuit’s output voltage.
Therefore, adjusting the resistance value of R1 and R2 adjusts the output voltage. To calculate the resistance value, use the formula below.

How does the 7805 IC work in a circuit?
The circuit consists of:
7805 IC in a circuit
230V AC power goes into the transformer and converts to oscillating DC power in the bridge rectifier. The fuse limits the current from the transformer to 1A.
The capacitor ripple filters incoming current at both ends of the circuit. Wind from C1 is 12V DC unregulated, and it goes to the voltage regulator to come out as 5V. The D1 diode protects the course from current spike and damage because it is reverse bias.
The input voltage should always be greater by at least 2.5V than the output voltage. Some power is also lost as heat; hence, a heat sink is necessary for the 78058 IC.
An AC power source is more convenient than a DC power source. DC batteries are unstable because they frequently discharge, thus reducing voltage output.
Applications of the 7805 Linear Voltage Regulator
Apart from working as a +5V regulator and an adjustable voltage regulator, the LM7805 works in circuits that require:
- Reverse bias protection
- Regulated dual power supply
- Constant +5V output, e.g., microcontrollers, sensors, and other projects
Practical applications include:
- Charging DC batteries
- Phone chargers
- Portable CD player
- Uninterrupted power supplies (UPS)

UPS battery
Conclusion
The 7805 IC is an integral component in circuits sensitive to voltage change. With a few external devices, you can also experiment with the regulator in a project of your choice.
Find us here for the necessary components or any further queries.








